A Systematic Review and Meta-Analysis of Child Malnutrition and its Determinants in Bangladesh and India
Keywords:
Child malnutrition, Determinants, Meta-analysis, Bangladesh, IndiaAbstract
REVIEW
The intensity of child malnutrition in developing countries is severe, especially in South Asia. Bangladesh and India, two developing countries of South Asia, suffers from high child malnutrition. To reduce the high rate of child malnutrition, it is very important to calculate the rates of malnutrition precisely. Although a number of studies in both Bangladesh and India has been conducted separately to determine the prevalence of child malnutrition, no systematic review and meta-analysis was performed. This study aims to estimate the prevalence of stunting, wasting, and underweight for under-five years children of Bangladesh and India through systematic review and meta-analysis. Our findings reveal that the pooled estimates of stunting and underweight are above the WHO set threshold points, while the pooled estimate of wasting is just below the threshold point for Bangladesh. On the other hand, the pooled estimates of all of these indicators are above the cut-off points for India, indicating the existence of “very high” prevalence of child malnutrition in the country. Through meta-regression, several risk factors are also found significant which are responsible for high prevalence rates of child malnutrition in these two countries.
Keywords: Meta-analysis, child malnutrition, determinants, Bangladesh, India
Downloads
Introduction
Malnutrition in children is common globally and may result in both short and long term irreversible negative health outcomes. Malnutrition may be defined as a pathological state resulting from inadequate nutrition, including under-nutrition (protein-energy malnutrition) due to insufficient intake of energy and other nutrients; over-nutrition (overweight and obesity) due to excessive consumption of energy and other nutrients; deficiency diseases due to insufficient intake of one or more specific nutrients such as vitamins or minerals1. Nearly half of all deaths in children under 5 are attributable to under-nutrition; under-nutrition puts children at greater risk of dying from common infections, increases the frequency and severity of such infections, and delays recovery. Malnutrition in the early stage of life has adverse impacts on the health and intellectual development of children, which in turn affects productivity and health status in adulthood 2.
The burden of malnutrition is much higher in South Asia compared to that of Africa and other parts of the world 3. Bangladesh and India are two countries in South Asia where the rate of child malnutrition is very high. According to Deolalikar 4, child malnutrition is pervasive in Bangladesh, where nearly one-half of children below the age of six years are underweight or stunted, and nearly one-fifth are severely underweight or stunted. Das and Rahman5mentioned child malnutrition as an underlying cause of child morbidity and mortality in Bangladesh. They determined the age of the child, birth interval, mother’s education, maternal nutrition, household wealth status, child feeding index, and incidence of fever, acute respiratory infection (ARI) and diarrhoea as significant predictors of child malnutrition.
Chowdhury et al.6 conducted a multilevel analysis that included 7568 children less than 5 years of age in Bangladesh. They found that the prevalence of stunting, wasting, and being underweight in the nationally representative sample was 41.3%, 15.5%, and 36.2%, respectively. Rayhan and Khan 7 carried out a study that investigated the differential impact of some demographic, socioeconomic, environmental and health related factors on nutrition status among under five years children in Bangladesh using Bangladesh Demographic and Health Survey 1999-2000 data. The analysis revealed that 45% of the children under five, were suffering from chronic malnutrition and 10.5% were acutely malnourished and 48% had underweight problem. Previous birth interval, size at birth, mother’s BMI and parent’s education were marked as main contributing factors.
Despite a fast-growing economy, India has severe child malnutrition. According to Mazumdar8, about 48% of children under the age of five in India are stunted. Nearly 43% of the children are found to be underweight, while about a fifth (20%) are wasted. Further, nearly a quarter of the children are severely stunted and about 16% are severely underweight. Sarkar and Haldar9 used descriptive analyses and regression analyses to explore the determinants of child malnutrition from National Family Household Survey-III, 2005-06 data on around 38,000 children from all parts of India. Descriptive results indicated that 48.0%, 42.5% and 20.89% of the sample children under five were stunted, underweight and wasted, respectively. Regression analyses showed that the significant determinants of malnutrition are age and birth history of the child, mother’s education, mother’s underweight, wealth of the households, household size and presence of toilets in the households. Pathak and Singh10 examined the trends and patterns of economic inequalities with respect to child malnutrition by wealth status of the population across major regions and states of India. They reported that the burden of malnutrition was disproportionately concentrated among poor children. In addition, the average decline in malnutrition concealed large economic disparities across space and time.
To reduce the high rate of malnutrition, it is very important to calculate the rates of malnutrition precisely. Although a number of studies in both Bangladesh and India have been conducted separately to determine the prevalence of child malnutrition, no systematic review and meta-analysis was performed. This study aims to estimate the prevalence of stunting, wasting and being underweight for under-five year children of Bangladesh and India through systematic review and meta-analysis. A meta-analysis of malnutrition data may help public health researchers and policymakers to re-think about or re-design their research pathways and policies to reduce malnutrition.
Materials and methods
Meta-analysis
Meta-analysis may be broadly defined as the quantitative review and synthesis of the results of related but independent studies. There are different legitimate objectives for a meta-analysis: to improve statistical power to detect a treatment effect, to estimate a summary average effect, to identify subsets of studies (sub-groups) associated with a beneficial effect, and to explore if there are differences in the size or direction of the treatment effect associated with study-specific variables 11.
In a meta-analysis, the effect size is a quantitative measure that reflects the magnitude of the treatment effect or the strength of the relationship between two variables on a numeric scale. In this analysis, prevalence will be used as the effect size. Prevalence is the proportion of persons in a population having a particular disease or attribute which follows a binomial distribution. If we denote the prevalence of i’th study by pi and the population size by Ni, then the variance for pi is
Var(pi )=(pi (1-pi)/Ni .
One of our objectives in meta-analysis is to establish a pooled estimate of the effect size. A weighted average of results from various studies obtains the pooled estimate. We use precision or inverse variance as the study weight to give more weight to studies with large sample sizes. If the pooled estimate is denoted by P, then the pooled estimate can be quantified as
P=(∑i piWi)/(∑i Wi),
where Wi is the weight for study i. The standard error of pooled estimate is
SE(P)=√(1/(∑i Wi)
Clopper-Pearson interval will be used to estimate the confidence interval for all the proportions.
Transformation
When we are undergoing a meta-analysis of prevalence, we need to consider transforming the effect sizes because of two reasons. Firstly, if the pooled prevalence is near 0 or 1, then the confidence interval of the pooled estimate may have a confidence limit outside the range [0,1]. Secondly, to stabilize the variance. Generally, two procedures are used for transforming the prevalence: i) Logit Transformation and ii) Freeman-Tukey Double Arcsine Transformation. The logit transformation does not really stabilize the variance. It only stops the pooled CI from exceeding [0,1]. The double arcsine transformation stabilizes the variance and stops the pooled CI from exceeding [0,1]. Hence, we will prefer Freeman-Tukey double arcsine transformation over the logit transformation.
Choice of Model
There are mainly two statistical models for meta-analysis, the fixed-effect model and the random-effect model. Under the fixed-effect model, we assume that there is one true effect size that underlies all the studies in the analysis and that all differences in observed effects are due to sampling error. By contrast, under the random-effects model, we allow that the true effect could vary from study to study. In the fixed-effect model, we make inference about the population that has been sampled. On the other hand, in the random effect model, inferences are to be generalized to a population in which the studies are permitted to have different effects and different characteristics.
In the fixed effect model, the observed effect size pi is given by population mean plus the sampling error in that study. That is, pi= π + εi. The weight assigned to each study in fixed-effect model assumption is
Wi=1/(Var(pi),
where Var(pi) is the within-study variance in study i. The fixed-effect pooled estimate can be computed by
PFixed =(∑i Wi pi)/(∑i Wi)
The variance of this pooled estimate is
Var(P)Fixed =1/(∑i Wi)
On the contrary, in the random effect model, the observed effect pi for any study is given by the grand mean, the deviation of the study’s true effect from the grand mean, and the deviation of the study’s observed effect from the study’s true effect. That is, pi=π+ζi+εi. The weight assigned to each study in the random-effect model
Wi*=1/(Var* (pi)
where is the within-study variance for study i plus the between-studies variance, τ2. That is,Var* (pi)= Var(pi ) + τ2. The random-effect pooled estimate can be computed by
PRandom =(∑i Wi* pi)/(∑i Wi*)
The variance of this pooled estimate is given by
Var(P)Random =1/(∑i Wi*)
The parameter τ2 is unknown. One way to estimate τ2 is the method of moments (or the DerSimonian and Laird method) as follows.
τ^2=(Q-df)/C
Here,
(Q=∑(i=1)k Wi pi2-(∑(i=1)k Wi pi )2/(∑(i=1)k Wi , C=∑Wi-(∑Wi2)/(∑Wi,
df=k-1, where k is the number of studies.
Heterogeneity
Heterogeneity in meta-analysis refers to the variation in study outcomes between studies. To find out whether the fixed-effect assumption or the random-effect assumption is more accurate for our analysis, we need to identify and measure if there is heterogeneity between the studies. One in any study way to do this is to perform a Cochran’s Q test
H0 : π= π1 = π2 = · · · = πkagainst
H1: At least one πiis different.
First we compute the test statistic,
Q=∑(i=1)k Wi (pi-P_Fixed)2
An equivalent formula, useful for computations is,
Q=∑(i=1)k Wi pi2-(∑(i=1)k Wi pi )2/(∑(i=1)k Wi
Under H0, for large sample size, Q∼χ2(k-1). If is greater than the 100(1 − α) percentile of the χ2k-1 distribution, then the hypothesis of equal effect size, H0, would be rejected and a random-effect model would be chosen. If we cannot reject H0, we would conclude that k studies share a common effect size and assert that the amount of between-study variation is small. A fixed-effect model would be preferable in such a scenario. I2 statistic allows us to measure heterogeneity independent of scale. Higgins et al.12proposed using the statistic, which gives a proportion of the observed variance that reflects real differences in effect size. It is computed as
I2=((Q-df)/Q)×100%
It can also be written as
I2=( Variancebet / Variancetotal )×100%=(τ^2/(τ^2+V_P ))×100%
The scale of has a range of 0–100%, regardless of the scale used for the meta-analysis itself. Higgins et al.12provide some tentative benchmarks for I2. They suggest that values on the order of 25%, 50%, and 75% might be considered as low, moderate and high, respectively. It is important to understand the difference between the two statistics τ^2 and I2. The statistic τ^2 reflects the amount of true heterogeneity (the variance or the standard deviation) while I2reflects the proportion of observed dispersion that is due to this heterogeneity.
Subgroup Analysis
Meta-analysis can be used to compare the mean effect for different subgroups of studies. In subgroup analysis, we compute the mean effect and variance for each subgroup and compare the mean effect across subgroups either by a Z-test or by a Q-test based on the analysis of variance. When there are only two subgroups, we can work directly with the mean difference in effect sizes. Let A and B be to subgroups, πA and πB be the true effect size of subgroup A and subgroup B, respectively. Also, let PA and PB be the estimated effects with variances Var(PA) and Var(PB), respectively. We define
Diff= PB− PA.
Then the test statistic can be written as
ZDiff=Diff/SEDiff
where,
SEDiff =√(Var(PA )+Var(PB)
Under the null hypothesis, the true effect size π is the same for both groups, H0: πA= πB. For a two-tailed test, the p-value is given by p-value = 2[1 − (Φ(|Z|))], where Φ(|Z|) is the standard normal cumulative distribution.
When we compare means in more than two groups, we use analysis of variance. In this method, we partition the total variance into variance within groups and variance between groups. Analysis of variance is also similar for meta-analysis except that the means are based on studies rather than subjects. Let, QJ be the weighted sum of squares (SS) of all studies in subgroup J about the mean effect size of subgroup J, Qwithinbe the weighted within SS, Qbetweenbe the weighted between SS, Q be the weighted SS of all effects about the grand mean. If we have k subgroups, then
Qwithin =∑(j=1)k Qj, and Qbetween =Q-Qwithin
Each Q follows a χ2 distribution with degrees of freedom one less than the number of studies considered in that sum of square. So, we can check the significance by comparing each Q with the 100(1 α) percentile of the χ2 distribution. If the weighted within SS, Qbetween is significant. We say at least one subgroup has a significantly different effect size.
Meta-Regression
Meta-regression is a tool used in meta-analysis to examine the impact of moderator variables on study effect size using regression-based techniques. The test of significance of any regression coefficient β can be done using a Z-test.
Z=β/SEβ
Under the null hypothesis that the coefficient is zero, Z would follow the normal distribution. In conventional regression, R2 is a popular statistical measure to quantify the goodness of fit of a regression model. As this measure is commonly used and many researchers know how to interpret it, we can also calculate an R2 analogous for meta-regression using the formula
R2=(T2explained)/(T2total)
Or, equivalently
R2=1-((T2unexplained)/(T2total)
Meta-regression may be performed under the fixed-effect or the random-effects model, but in most cases, a random-effects model is appropriate.
Results and Discussion
Searching Strategies and Inclusion/Exclusion Criteria for Studies
The search process was started to find published articles regarding the prevalence of malnutrition in children under the age of five in Bangladesh and India from 2001 to 2019 using databases PubMed and Google Scholar. The keywords used to search articles were: child, malnutrition, India, Bangladesh and all possible combinations. Boolean operators (and, or) were used to combine words. Three levels of screening were performed. The first and second rounds of screening were based on titles and abstracts only, while the third round consisted of a review of full text articles.
The inclusion criteria of a study to be reviewed were: i) study population must belong to Bangladesh or India, ii) studies must be either cohort, case-control, or cross-sectional, iii) studies must report information to compute effect sizes. On the contrary, the exclusion criteria were: i) lack of reference to the prevalence of malnutrition, ii) articles that do not follow our age criteria, iii) lack of access to the full text of articles, iv) non-relevance of subject matter and low quality of articles, v) lack of knowledge of sample size, and vi) written in another language than English. Articles that fulfill our criteria and do not have reason to be excluded were included in the meta-analysis.
A total of 174 articles were found by searching keywords in databases (PubMed and Google Scholar). Additional 23 articles were included in reference list of the articles. After screening the title and abstract, and also duplication and unavailability of studies, 176 studies were excluded. Six more studies were excluded due to meeting one or more criteria of exclusion. Finally, Data were extracted from a total of 15 articles 4-6,8,9,13-22. Figure 1illustrates the inclusion and exclusion criteria for the available studies. Information from 15 articles was used for a pooled estimate of the prevalence of stunting, whereas for pooled estimates of the prevalence of wasting and underweight, extracted data from 13 articles were used.
Figure 1. Flowchart for the inclusion of articles in the meta-analysis
Data Extraction
The following data were extracted for all studies: first author’s name, year of publication, year of study, study location, study design, overall sample size, number of children stunted, number of children wasted, and number of underweight children. Equivalent data were also extracted for every level of the risk factors gender, mother’s educational background, economic status, and place of residence. For measuring overall prevalence, we considered anthropometric indices: i) Height-for-age (HAZ), ii) Weight-for-height (WHZ), and iii) Weight-for-age (WAZ) Z-scores. Each of these three indices provides different information about the growth and body composition that can be used to assess nutritional status. Children were respectively classified as stunted, wasted, or underweight if HAZ, WHZ and WAZ were below -2.00, according to World Health Organization (WHO). The indices are expressed as the number of standard deviation (SD) units (Z-score) from the median of the reference population for which the 2006 WHO Child Growth Standards were calculated 23. Growth Standards are based on an international sample of ethnically, culturally, and genetically diverse healthy children living under optimum conditions that are appropriate for achieving a child’s growth potential.
Pooled Prevalence and Meta-Regression for Stunting, Wasting, and Underweight
For an overall estimate of the prevalence of stunting, wasting, and being underweight for children under 5 years, we considered two countries, Bangladesh and India, each as a subgroup. The forest plots for pooled estimates of these three indicators of malnutrition are shown in Figure 2-4. From the forest plot in Figure 2, we see that the pooled estimate of the prevalence of stunting for Bangladesh is 0.40[0.38,0.42], and for India is 0.49[0.48,0.50]. That is, about 40% and 49% of children under five years old are suffering from stunting in Bangladesh and India, respectively. For the test of heterogeneity between the two subgroups Bangladesh and India, the value of the test statistic is 58.78 with df=1 and p-value < 0.05. Therefore, the pooled estimates of the two subgroups are significantly different.
Figure 2. Forest plot for overall prevalence of stunting
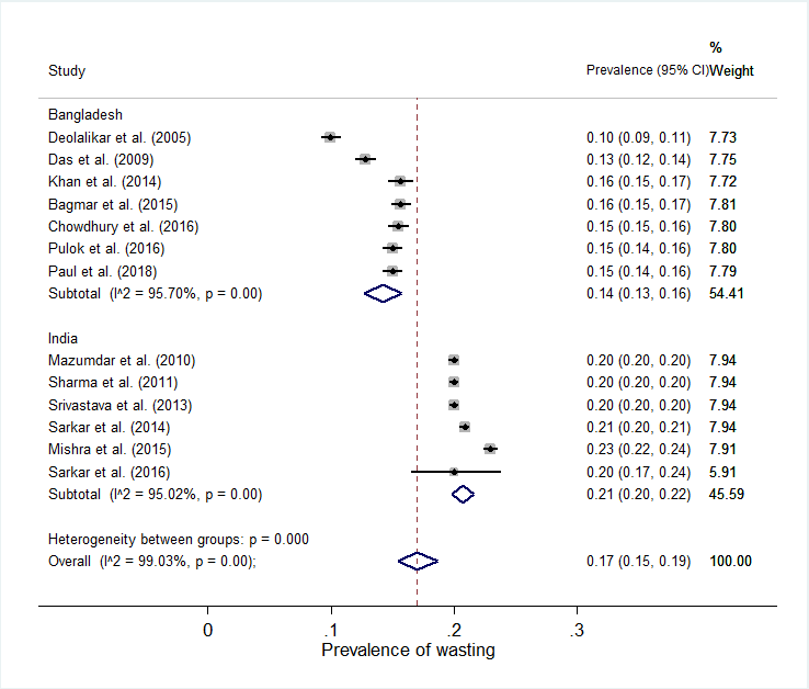
The forest plot for the overall prevalence of wasting is shown in Figure 3. For wasting, the pooled estimate of prevalence for Bangladesh is found to be 0.14[0.13,0.16], while it is 0.21[0.20,0.22] for India. Hence, about 14% and 21% of children under five years old are suffering from wasting in Bangladesh and India, respectively. The overall estimate of the prevalence of underweight for children under 5 years is 0.40[0.35,0.45] for Bangladesh and 0.44[0.42,0.45] for India (see Figure 4). The test of heterogeneity between the two subgroups Bangladesh and India reveals that the subgroups are significantly different (test statistic=47.96, df=1 and p-value < 0.05) for the response variable wasting while it is not significant for the response variable underweight (test statistic=2.17, df=1 and p-value-0.14).
Figure 3. Forest plot for overall prevalence of wasting
Figure 4. Forest plot for overall prevalence of underweight
We considered gender, place of residence, mother’s education and economic status as explanatory variables for meta-regression. For each explanatory variable, a separate meta-regression was conducted to control the effect of the country. The levels male, urban, no education and poorest were the reference categories for the variables gender, place of residence, mother’s education and economic status, respectively. Table 1 exhibits that the risk factors- a place of residence, mother’s education and economic status are significant for the prevalence of stunting, wasting and being underweight.
| Covariate | Model | Stunting | Wasting | Underweight | ||||||
| Co effs | P-value | 95% CI | Co effs | P-value | 95% CI | Co effs | P-value | 95% CI | ||
| Gender | Intercept | 0.405 | <0.05 | (0.392, 0.418) | 0.152 | <0.05 | (0.135, 0.169) | 0.385 | <0.05 | (0.340, 0.430) |
| Country | 0.067 | <0.05 | (0.052, 0.081) | 0.050 | <0.05 | (0.030, 0.070) | 0.031 | 0.403 | (-0.042, 0.104) | |
| Female | 0.008 | 0.278 | (-0.006, 0.023) | 0.001 | 0.923 | (-0.019, 0.021) | 0.028 | 0.363 | (-0.032, 0.088) | |
| Place of residence | Intercept | 0.350 | <0.05 | (0.323, 0.377) | 0.126 | <0.05 | (0.107, 0.144) | 0.326 | <0.05 | (0.277, 0.376) |
| Country | 0.059 | <0.05 | (0.012, 0.106) | 0.048 | <0.05 | (0.027, 0.068) | 0.014 | 0.754 | (-0.071, 0.098) | |
| Rural | 0.069 | <0.05 | (0.035, 0.104) | 0.035 | <0.05 | (0.014, 0.055) | 0.104 | <0.05 | (0.038, 0.169) | |
| Mother’s Education | Intercept | 0.507 | <0.05 | (0.475, 0.538) | 0.180 | <0.05 | (0.160, 0.200) | 0.504 | <0.05 | (0.481, 0.528) |
| Country | 0.046 | <0.05 | (0.000, 0.092) | 0.041 | <0.05 | (0.018, 0.064) | 0.015 | 0.297 | (-0.013, 0.043) | |
| Primary | -0.056 | <0.05 | (-0.099, -0.013) | -0.007 | 0.631 | (-0.033, 0.020) | -0.073 | <0.05 | (-0.105, -0.042) | |
| Secondary or higher | -0.187 | <0.05 | (-0.230, -0.143) | -0.061 | <0.05 | (-0.089, -0.033) | -0.257 | <0.05 | (-0.290, -0.224) | |
| Economic Status | Intercept | 0.527 | <0.05 | (0.507, 0.547) | 0.211 | <0.05 | (0.193, 0.228) | 34.27 | <0.05 | (0.480, 0.538) |
| Country | 0.062 | <0.05 | (0.043, 0.080) | 0.033 | <0.05 | (0.018, 0.049) | 0.046 | <0.05 | (0.020, 0.072) | |
| Poor | -0.055 | <0.05 | (-0.083, -0.027) | -0.027 | <0.05 | (-0.045, -0.009) | -0.068 | <0.05 | (-0.108, -0.027) | |
| Middle income | -0.121 | <0.05 | (-0.148, -0.094) | -0.051 | <0.05 | (-0.070, -0.033) | -0.154 | <0.05 | (-0.192, -0.116) | |
| Rich | -0.167 | <0.05 | (-0.195, -0.138) | -0.076 | <0.05 | (-0.095, -0.058) | -0.215 | <0.05 | (-0.256, -0.175) | |
| Richest | -0.302 | <0.05 | (-0.330, -0.273) | -0.109 | <0.05 | (-0.129, -0.089) | -0.326 | <0.05 | (-0.367, -0.285) | |
Conclusion
In this study, we have attempted to estimate the prevalence of stunting, wasting and underweight of under-five year children precisely by conducting a meta-analysis. We have calculated these estimates for two subgroups Bangladesh and India. From the analysis, we have found that the pooled estimates for the prevalence of stunting, wasting, and underweight with 95% CI for Bangladesh to be 40% [38%, 42%], 14% [13%, 16%] and 40% [35%, 45%], respectively. For India, the pooled estimates with 95% CI for the prevalence of stunting, wasting, and underweight are 49% [48%, 50%], 21% [20%, 22%] and 44% [42%, 45%], respectively which are higher than Bangladesh but, the difference is insignificant for the prevalence of underweight.
To assess the significance of the risk factors, we have also conducted a meta-regression. From the results of meta-regression, we have found that the risk factors of place of residence, mother’s education and economic status are significant for the prevalence of stunting, wasting, and being underweight. The results show that the prevalence of stunting, wasting, and being underweight is higher for children living in rural areas than for children living in urban areas. Mother’s education is an important factor as the prevalence of malnutrition decreases with the increase in the education level of the mother. Moreover, our findings suggest that the children who belong to a family with high economic status suffer less, and the children who belong to the poorest family suffer most from malnutrition.
World Health Organization has set cut-off points for “very high” prevalence of stunting, wasting and underweight to be 30%, 15% and 15% 24. Our findings reveal that the pooled estimates of stunting and underweight are above the threshold point, while the pooled estimate of wasting is just below the threshold point for Bangladesh. On the other hand, the pooled estimates of all of these indicators are above the threshold point for India. Hence, child malnutrition is a matter of great concern for both countries. High prevalence of stunting, wasting, and being underweight have adverse effects for both the short term, through high child mortality and long-run effect, through poorer school performance, decreased work capacity, and ultimately increased risk of adult morbidity and early death. An appropriate strategy should be employed to educate people about the importance of balanced, complementary food for infants over six months of age. Special nutrition interventions should be undertaken in rural areas. The interventions for improving girls’ education should be strengthened since women’s education is a powerful weapon for reducing child malnutrition. Better knowledge and skills enable women to improve the way they care for and feed their infants. The government of both countries can set up a long-term program to educate people about the appropriate standard height and weight of children to make the parents aware of the nutritional status of their children.
Acknowledgments
The authors would like to acknowledge Awan Afiaz, Institute of Statistical Research and Training, University of Dhaka, for his generous contribution during article selection process.
Declarations
Funding: Not applicable. Conflicts of interest: Not applicable. Ethics approval: Not applicable. Consent to participate: Not applicable. Consent for publication: Not applicable. Availability of data and material: All the data is included in the paper. Code availability: On request.
References
- Ge KY, Chang SY. Definition and measurement of child malnutrition. Biomedical and Environmental Sciences: BES.2001;14:283–291, PMID 11862608.
- Victora CG, Adair L, Fall C, et al. Maternal and child undernutrition: consequences for adult health and human capital. The Lancet. 2008;371:340–357. https://doi.org/10.1016/S0140- 6736(07)61692-4.
- Onis Md, Frongillo EA, Blo¨ssner M. Is malnutrition declining? An analysis of changes in levels of child malnutrition since 1980. Bulletin of the World Health Organization. 2000;78:1222–1233, PMID: 11100617.
- Deolalikar AB. Poverty and child malnutrition in Bangladesh. Journal of Developing Societies. 2005;21:55–90. https://doi.org/10.1177/0169796X05053067.
- Das S, Rahman RM. Application of ordinal logistic regression analysis in determining risk factors of child malnutrition in Bangladesh. Nutrition Journal. 2011;10:1–11. https://doi.org/10.1186/1475-2891-10-124.
- Chowdhury MRK, Rahman MS, Khan MMH, Mondal MNI, Rahman MM, Billah B. Risk factors for child malnutrition in Bangladesh: a multilevel analysis of a nationwide population- based survey. The Journal of Pediatrics.2016;172:194–201. https://doi.org/10.1016/j.jpeds.2016.01.023.
- Rayhan MI, Khan MSH. Factors causing malnutrition among under five children in Bangladesh. Pak J Nutr. 2006;5:558-62.
- Mazumdar S. Determinants of inequality in child malnutrition in India: the poverty-undernutrition linkage. Asian Population Studies.2010;6:307–333. https://doi.org/10.1080/17441730.2010.512763.
- Sarkar D, Haldar SK. Socioeconomic Determinants of Child Malnutrition in India: Evidence from NFHS-III. Available at SSRN 2420293.2014. http://dx.doi.org/10.2139/ssrn.2420293.
- Pathak PK, Singh A. Trends in malnutrition among children in India: growing inequalities across different economic groups. Social Science & Medicine.2011;73:576–585. https://doi.org/10.1016/j.socscimed.2011.06.024.
- Normand SLT. Meta-analysis: formulating, evaluating, combining, and reporting. Statistics in Medicine.1999;18:321–359. https://doi.org/10.1002/(SICI)1097- 0258(19990215)18:3¡321::AID-SIM28¿3.0.CO;2-P.
- Higgins JPT, Thompson SG, Deeks JJ, Altman DG. Measuring inconsistency in meta-analyses. Bmj.2003;327:557–560. https://doi.org/10.1136/bmj.327.7414.557.
- Khan REA, Raza MA. Child malnutrition in developing economies: a case study of Bangladesh. Quality & Quantity.2014;48:1389–1408. https://doi.org/10.1007/s11135-013- 9842-4.
- Bagmar MSH, Khudri MM. Tracking changes and identifying determinants of child malnutrition status over the past decade in Bangladesh. Pakistan Journal of Nutrition.2015;14:964. pjn.2015.964.971.
- Pulok MH, Sabah MNU, Enemark U. Socioeconomic inequal- ities of child malnutrition in Bangladesh. International Journal of Social Economics.2016. https://doi.org/10.1108/IJSE-03- 2015-0065.
- Bhowmik KR, Das S. On exploring and ranking risk factors of child malnutrition in Bangladesh using multi- ple classification analysis. BMC Nutrition.2017;3:1–10. https://doi.org/10.1186/s40795-017-0194-7.
- Nabeen AHM, Akanda M, Salam A. Association between Economic Inequality and Under-Five Child Malnutrition: Evidence from Bangladesh Demographic and Health Survey. Dhaka Univ. J. Sci.2018;66:73–78.
- Paul GK, Nesa MK, Mondal SK, Salan SA, Mim FN, others . Application of proportional odds model in identifying contributing factor of under-five child malnutrition in Bangladesh: A case study in Tangail district. Journal of Health Research and Reviews.2018;5:128.
- SHARMA SS. Determinants of Child Malnutrition and Feed- ing Practices in India. Journal of Human Development. 2011;3:9–33.
- Srivastava A. Does the community SES modify the household- level effects on child malnutrition in the Empowered Action Group (EAG) states of India?.
- Mishra S, Pandey CM, Chaubey YP, Singh U. Determinants of child malnutrition in empowered action group (EAG) states of India. Statistics and Applications.2015;13:2454–7395.
- Sarkar S. Cross-sectional study of child malnutrition and associated risk factors among children aged under five in West Bengal, India. International Journal of Population Studies.2016;2:89–102. http://dx.doi.org/10.18063/IJPS.2016.01.003.
- WHO Multicentre Growth Reference Study Group, Onis Md. Assessment of differences in linear growth among populations in the WHO Multicentre Growth Reference Study. Acta Paediatrica.2006;95:56–65. 10.1111/j.1651- 2227.2006.tb02376.x.
- Onis Md, Borghi E, Arimond M, et al. Prevalence thresholds for wasting, overweight and stunting in children under 5 years. Public health nutrition. 2019;22:175–179. 10.1017/S1368980018002434.
Downloads
Published
How to Cite
Issue
Section
License
Copyright (c) 2023 Safwan Shihab, M. Shafiqur Rahman, Md. Tanvir Murshed , Nofel Ahmed, Anindita Saha, Noor Jahan Akter

This work is licensed under a Creative Commons Attribution-NonCommercial-ShareAlike 4.0 International License.
